よむ、つかう、まなぶ。
        報道発表資料
        
        
        
        
          担当省: 厚生労働省
        
        
        
      
      基礎情報
| 資料公開日時 | 2025月04月01日 (火) | 
| PDF総ページ数 | 全 11 ページ | 
| 公開元URL | https://www.mhlw.go.jp/stf/newpage_56019.html | 
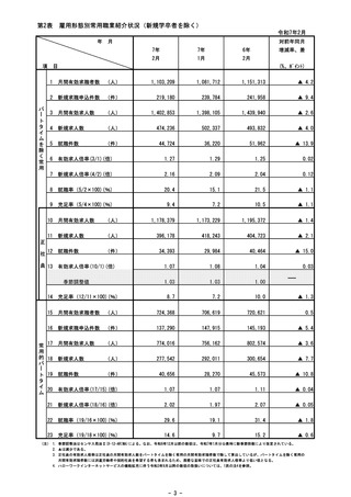
| 出典情報 | 一般職業紹介状況(令和7年2月分)(4/1)《厚生労働省》 | 
| 関連記事 | 
 
             
       
       
       
       
       
       
       
       
       
      