よむ、つかう、まなぶ。

MC plus(エムシープラス)は、診療報酬・介護報酬改定関連のニュース、

資料、研修などをパッケージした総合メディアです。


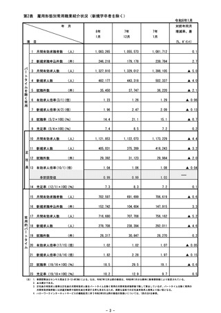
一般職業紹介状況(令和8年1月分)

担当省: 厚生労働省

基礎情報

資料公開日時 2026月03月03日 (火)
PDF総ページ数 全 11 ページ
公開元URL https://www.mhlw.go.jp/stf/newpage_70756.html
出典情報 一般職業紹介状況(令和8年1月分)(3/3)《厚生労働省》
関連記事

PDFダウンロード

詳細情報 (全 11 ページ)

1 ページ

2 ページ

3 ページ

4 ページ

5 ページ

6 ページ

7 ページ

8 ページ

9 ページ

10 ページ

11 ページ