よむ、つかう、まなぶ。

MC plus(エムシープラス)は、診療報酬・介護報酬改定関連のニュース、

資料、研修などをパッケージした総合メディアです。


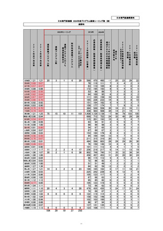
資料3 2024年度プログラム募集専攻医シーリング数(案)(日本専門医機構資料)[1.9MB]

担当省: 厚生労働省

基礎情報

資料公開日時 2023月06月22日 (木)
PDF総ページ数 全 14 ページ
公開元URL https://www.mhlw.go.jp/stf/newpage_33773.html
出典情報 医道審議会 医師分科会医師専門研修部会(令和5年度第1回 6/22)《厚生労働省》

PDFダウンロード

詳細情報 (全 14 ページ)

1 ページ

2 ページ

3 ページ

4 ページ

5 ページ

6 ページ

7 ページ

8 ページ

9 ページ

10 ページ

11 ページ

12 ページ

13 ページ

14 ページ