よむ、つかう、まなぶ。

MC plus(エムシープラス)は、診療報酬・介護報酬改定関連のニュース、

資料、研修などをパッケージした総合メディアです。


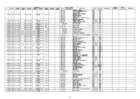
資料1-2-2-6    薬機法に基づく製造販売業者からの副反応疑い報告状況について(交互接種に係る報告症例一覧)

担当省: 厚生労働省

基礎情報

資料公開日時 2022月11月11日 (金)
PDF総ページ数 全 14 ページ
公開元URL https://www.mhlw.go.jp/stf/shingi2/0000208910_00055.html
出典情報 第 88 回厚生科学審議会予防接種・ワクチン分科会 副反応検討部会、令和4年度第 18 回薬事・食品衛生審 議会薬事分科会医薬品等安全対策部会安全対策調査会(11/11)《厚生労働省》

PDFダウンロード

詳細情報 (全 14 ページ)

1 ページ

2 ページ

3 ページ

4 ページ

5 ページ

6 ページ

7 ページ

8 ページ

9 ページ

10 ページ

11 ページ

12 ページ

13 ページ

14 ページ