よむ、つかう、まなぶ。

MC plus(エムシープラス)は、診療報酬・介護報酬改定関連のニュース、

資料、研修などをパッケージした総合メディアです。


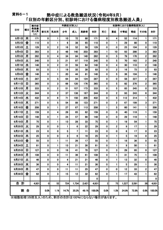
令和4年9月の熱中症による救急搬送状況

担当省: 総務省

基礎情報

資料公開日時 2022月10月21日 (金)
PDF総ページ数 全 14 ページ
公開元URL https://www.fdma.go.jp/disaster/heatstroke/items/r4/heatstroke_geppou_202209.pdf
出典情報 令和4年9月の熱中症による救急搬送状況(10/21)《総務省消防庁》
関連記事

PDFダウンロード

詳細情報 (全 14 ページ)

1 ページ

2 ページ

3 ページ

4 ページ

5 ページ

6 ページ

7 ページ

8 ページ

9 ページ

10 ページ

11 ページ

12 ページ

13 ページ

14 ページ