よむ、つかう、まなぶ。

MC plus(エムシープラス)は、診療報酬・介護報酬改定関連のニュース、

資料、研修などをパッケージした総合メディアです。


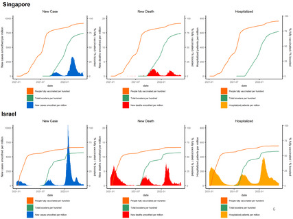
資料3-1-② 押谷先生提出資料

担当省: 厚生労働省

基礎情報

資料公開日時 2022月05月25日 (水)
PDF総ページ数 全 11 ページ
公開元URL https://www.mhlw.go.jp/stf/seisakunitsuite/bunya/0000121431_00348.html
出典情報 新型コロナウイルス感染症対策アドバイザリーボード(第85回 5/25)《厚生労働省》

PDFダウンロード

詳細情報 (全 11 ページ)

1 ページ

2 ページ

3 ページ

4 ページ

5 ページ

6 ページ

7 ページ

8 ページ

9 ページ

10 ページ

11 ページ