よむ、つかう、まなぶ。

MC plus(エムシープラス)は、診療報酬・介護報酬改定関連のニュース、

資料、研修などをパッケージした総合メディアです。


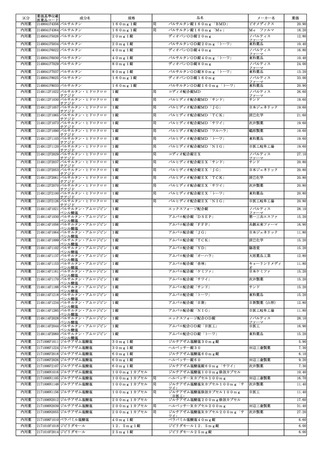
別添2 後発医薬品使用体制加算等における加算等の算定対象から除外する品目(令和7年9月30日まで)

基礎情報

資料公開日時 2025月03月07日 (金)
PDF総ページ数 全 8 ページ
出典情報 後発医薬品の出荷停止等を踏まえた診療報酬上の臨時的な取扱いについて(3/7付 事務連絡)《厚生労働省》
関連記事

PDFダウンロード

詳細情報 (全 8 ページ)

1 ページ

2 ページ

3 ページ

4 ページ

5 ページ

6 ページ

7 ページ

8 ページ